西方哲学思维导图(20张高清版)

author: 百分思维 阅读:20 点赞:0

20张西方哲学思维导图合集,西方哲学思维导图,内容涵盖西方式哲学、学习哲学、形而上学、文艺复兴为开端的近代哲学、中世纪哲学等9个部分,20张高清版,每张思维导图都非常漂亮,每张图片均高清版。

西方哲学思维导图

在线预览

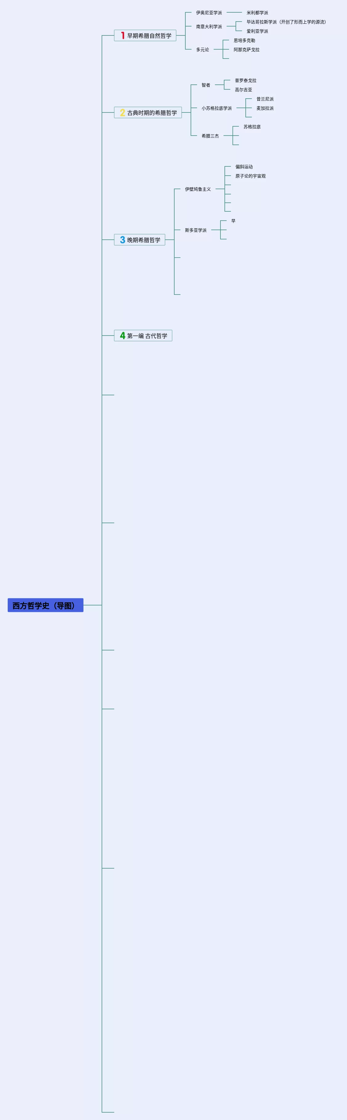
西方哲学史(导图)

在线预览

近代西方哲学

在线预览

西方哲学

在线预览

现代西方哲学新编

在线预览

西方哲学史

在线预览

西方哲学史

在线预览

西方哲学

在线预览

西方哲学史

在线预览

西方哲学简史思维导图

在线预览

西方哲学史

在线预览

西方哲学

在线预览

西方哲学史

在线预览

西方哲学简史

在线预览

mti西方哲学知识

在线预览

西方哲学史

在线预览

西方哲学史思维导图。

在线预览

西方哲学概要

在线预览

西方哲学史思维导图

在线预览

西方哲学史

在线预览

西方哲学(笔记整理)

在线预览

《西方哲学史》

在线预览

近代西方哲学专题

在线预览

西方哲学史

在线预览

西方哲学家

在线预览

打包下载地址1 打包下载地址2 打包下载地址3

Tags: 导图 思维 西方 哲学