外研社三年级下册英语思维导图(24张高清晰可打印)

author: 百分思维 阅读:19 点赞:0

24张外研社三年级下册英语思维导图汇总,外研社三年级下册英语思维导图,内容涵盖第一单元、第二单元、第三单元、第四单元、第五单元等10个方面,24张高清晰可打印,每张思维导图都非常清晰,每张图片均高清晰可打印。

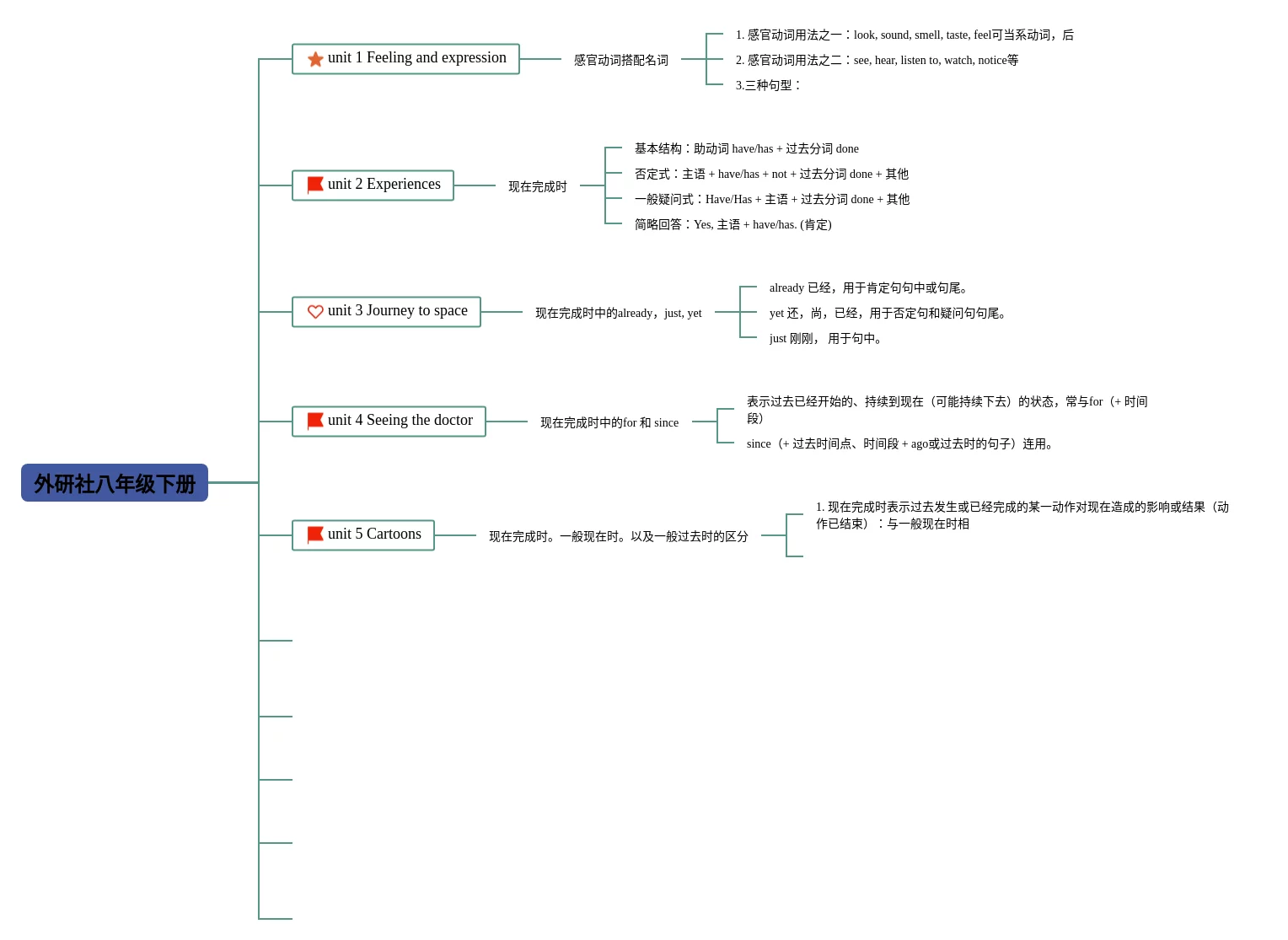
外研社八年级下册

在线预览

外研社六年级下册知识笔记

在线预览

外研社三年级下册英语知识笔记

在线预览

三年级下册语文三单元思维导图

在线预览

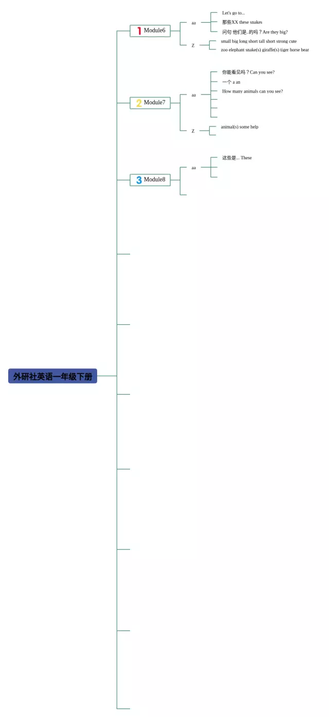
外研社英语一年级下册

在线预览

外研社八年级下册

在线预览

外研社九年级下册英语教材梳理

在线预览

外研社英语七年级下册

在线预览

三年级上册思维导图

在线预览

外研社三年级下册英语知识笔记

在线预览

外研社英语一年级下册

在线预览

三年级上册思维导图

在线预览

三年级下册知识思维导图

在线预览

三年级下册知识思维导图

在线预览

外研社英语七年级下册

在线预览

外研社英语一年级下册

在线预览

外研社英语一年级下册

在线预览

外研社英语七年级下册

在线预览

外研社四年级下册知识笔记

在线预览

外研社七年级上册英语

在线预览

外研社六年级下册知识笔记

在线预览

三年级下册思维导图

在线预览

三年级上册思维导图

在线预览

外研社四年级下册知识笔记

在线预览

打包下载地址1 打包下载地址2 打包下载地址3

Tags: 打印 导图 三年级 思维 外研社